Election 2026 primary analysis

Win analysis

election_2026_party_win_map.png
election_2026_dhaka_vote_difference.png
election_2026_party_win_map_dhaka.png
election_2026_ctg_vote_difference.png
election_2026_party_win_map_ctg.png
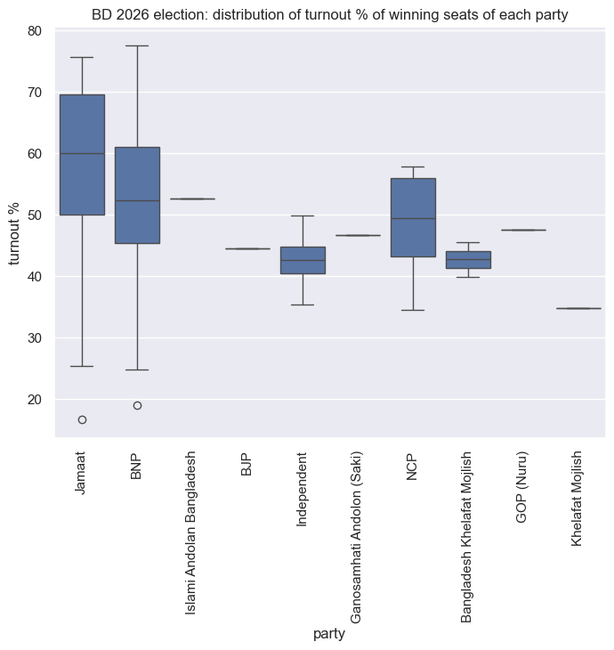
election_2026_turnout_party_distn.png
election_2026_bigp_votepc_turnout.png

Turnout analysis

election_2026_turnout_pc_map.png
election_2026_turnout_pc_compare.png
election_2026_comparison_turnout_pc_vote_gap.png

Vote gap analysis

election_2026_map_alliance_vote_gap.png
election_2026_alliance_close_contest.png
election_2026_alliance_big_win.png
election_2026_alliance_jamaat_ncp_win_vote_gap_distn.png
election_2026_alliance_bnp_win_vote_gap_distn.png
election_2026_alliance_jamaat_ncp_win_vote_gap.png
election_2026_alliance_bnp_win_vote_gap.png
election_2026_ncp_candidates.png